
第一章 估值法基本介绍
在金融领域,估值法的应用是至关重要的,它为投资者提供了一个框架,以确定资产的真实价值。由于市场的动态性和复杂性,证券的市场价格可能会受到多种因素的影响,从而导致其偏离其真实的内在价值。
当证券的市场价值高于其内在价值时,这通常意味着该证券在市场中被高估。在这种情况下,投资策略通常是卖出。相反,当市场价值低于内在价值时,证券被视为在市场中被低估,投资者可能会考虑买入。当两者相等时,证券被视为在市场中被合理估值。
为了更准确地估计资产的价值,一般使用三种主要的估值方法:比较估值法、绝对估值法和基于资产价值的估值法。
比较估值法: 这种方法涉及到与其他类似资产进行比较,以确定一个资产的相对价值。常用的技术包括市盈率估值法、PEG估值法和市净率估值法等。
绝对估值法: 这种方法试图确定资产的真实价值,而不是基于其他资产的价值。这包括RNAV估值法、DDM估值法和DCF估值法等。
基于资产价值的估值法: 这种方法主要关注资产的账面价值,包括账面价值法和清算价值法等。
第二章 比较估值法
2.1 市盈率估值法
市盈率,通常被称为P/E或PER,是金融领域中最常用的估值工具之一。它代表了投资者愿意为每单位公司盈利支付的价格,从而为投资者提供了一个关于股票相对价值的指标。
定义与计算
市盈率是股票价格与每股收益(Earnings per Share, EPS)的比值。在实际应用中,股票价格通常采用最新的收盘价。每股收益可以基于过去的实际盈利(称为历史市盈率)或基于分析师的盈利预测(称为预估市盈率)。预估市盈率通常基于多位分析师的预测平均值或中值。

市盈率的解读
市盈率为投资者提供了一个关于公司估值的参考框架。但是,一个“合理”的市盈率并没有固定的标准,而是需要与公司的历史市盈率、同行业的其他公司以及整体市场进行比较。
0-13:可能意味着公司被市场低估。
14-20:被视为市盈率的正常范围。
21-28:可能表示公司被市场高估。
28+:可能意味着市场存在投机性泡沫。
注意事项
对于高增长的初创公司或技术公司,由于预期的高盈利增长,其市盈率可能会偏高。相反,对于成熟的、增长较慢的行业,如公用事业或制造业,市盈率可能会偏低。
市盈率是一个强大的工具,但它并不是决策的唯一依据。投资者在做出投资决策时,应该结合其他财务指标、宏观经济因素以及公司的基本面进行综合分析。
案例分析:以明阳智能为例
明阳智能,股票代码[601615.SH],是一家主要从事新能源高端装备制造和新能源电站投资运营的公司。其业务范围涵盖风电机组制造、风电运营、风机运维、光伏高效电池片及组件制造、建筑光伏一体化、新能源电站EPC及配售电等领域。
市盈率(PE)是评估公司估值的关键指标。通过对明阳智能的PE-Bands分析,我们发现该公司的市盈率在过去主要在16.42和29.32之间波动。而在2022年6月17日,其市盈率为13.89,明显低于其历史平均水平,这暗示该公司可能被市场低估。
图表 PE-Bands

资料来源:千际投行 iFinD
进一步地,将明阳智能与同行业的其他公司进行比较,我们发现其市盈率显著低于风电行业的中值25.13。事实上,明阳智能的市盈率在整个风电行业中都是最低的,这进一步加强了其被低估的观点。
表 风电行业PE表

资料来源:资产信息网 千际投行
结合明阳智能的历史市盈率数据和与同行业公司的比较,我们可以得出一个明确的结论:从PE估值法的角度看,明阳智能当前被市场低估。这为投资者提供了一个有吸引力的投资机会,但在做出投资决策时,仍然需要考虑其他因素和风险。
2.2 PEG估值法
定义与起源
PEG指标,即市盈率相对盈利增长比率,是金融领域中用于评估公司估值的关键工具。这一指标的创始人是Jim Slater,他认识到传统的市盈率(PE)在评估公司的成长性方面存在局限性,因此提出了PEG指标,以更全面地评估公司的价值。

计算与应用
PEG指标是通过将公司的市盈率除以其盈利增长速度来计算的。这一指标的核心思想是,一个公司的市盈率可能会受到其盈利增长速度的影响。因此,通过考虑盈利增长,PEG为投资者提供了一个更为全面的估值视角。
PEG解读
PEG > 1: 如果一个公司的PEG指标高于1,这通常意味着该公司被市场高估。这是因为投资者为该公司的每单位盈利增长支付的价格超过了其市盈率。
0
PEG > 1.5 或 2: 对于新兴科技产业,由于其高增长潜力,投资者可能愿意为其盈利增长支付更高的价格,因此PEG指标可能会高于1.5或2。
注意事项
尽管PEG指标为投资者提供了一个有价值的参考框架,但它并不是决策的唯一依据。投资者在做出投资决策时,应该结合其他财务指标、宏观经济因素以及公司的基本面进行综合分析。此外,不同行业和市场的PEG标准可能会有所不同,因此在使用PEG进行估值时,应该考虑到这些差异。
案例分析:以明阳智能为例
明阳智能在2022年的盈利增长率达到了20.07%。结合其在2022年6月20日的市盈率(PE)为15.87,我们可以计算出其PEG指标为0.79。
图表 明阳智能盈利预测

资料来源:资产信息网 千际投行 Wind
PEG指标是一个评估公司估值的关键工具,它考虑了公司的盈利增长速度。一般来说,PEG小于1通常被认为是公司被低估的标志,而明阳智能的PEG为0.79,明显低于这一标准。
尽管与其历史数据相比,明阳智能的PEG有所上升,但当前的PEG值仍然显著低于1,这进一步支持了明阳智能被市场低估的观点。
结合PEG估值法,我们可以得出明阳智能当前被市场低估的结论。这与之前使用PE估值法得出的结论是一致的。这种一致性为投资者提供了更强的信心,认为明阳智能是一个有吸引力的投资机会。然而,投资者在做出决策时仍然需要考虑其他相关因素和潜在风险。
2.3 市净率估值法
市净率(Price-to-Book Ratio,简称P/B, PBR)指的是每股股价与每股净资产的比率。市净率可用于股票投资分析,一般来说市净率较低的股票,投资价值较高,相反,则投资价值较低;但在判断投资价值时还要考虑当时的市场环境以及公司经营情况、盈利能力等因素。

市净率特别在评估高风险企业,企业资产大量为实物资产的企业时受到重视。市净率的估值方法和市盈率估值方法类似,都需要考虑其自身历史市净率水平以及行业总体市净率水平。
案例分析
图表 PB-Bands
资料来源:资产信息网 千际投行 iFinD
以明阳智能为例,根据明阳智能的PB-Bands可以看出PB波动区间主要在2.26至3.31,当前的PB值为2.7,处于合理区间内,因此没有被高估或者低估。
同样,与PE估值法类似,在同行业内,明阳智能的PB值低于行业中值3.01,虽然差距并不算太大,但是在行业内仍被视作小幅低估。
表 风电行业PB表

资料来源:资产信息网 千际投行
因此结合与历史比较以及行业内比较,可以通过PB估值法得出明阳智能被小幅低估的估值结论。
2.4 市现率估值法
市现率(Price Cash Flow Ratio,PCF)是股票价格与每股现金流的比率。市现率可用于评价股票的价格水平和风险水平。市现率越小,表明上市公司的每股现金增加额越多,经营压力越小。

另外注意,由于公司年报中一般出现的都是每股经营活动产生现金流量,而忽略了投资活动产生的现金流量和筹资活动产生的现金流量,因而在使用这个指标判断一个公司的股价是否具有吸引力时,更应该结合其他的两个指标。原因在于经营活动产生的现金流量只反映了其经营的状况,而没有反映其在分红融资和对外对内投资的情况。因此市现率较难直接实现估值的目的。
案例分析
以明阳智能的PCF-Bands为例,可以看到明阳智能的PCF-Bands波动较大,也就是其现金流的情况不稳定,时多时少。这跟明阳智能的业务有关。并且PCF逐渐稳定,且在合理区间内,因此我们认为明阳智能目前价格合理。
图表 PCF-Bands

资料来源:资产信息网 千际投行 iFinD
2.5 市销率估值法
市销率( Price-to-sales,PS),市销率越低,说明该公司股票的投资价值越大。其估值方法与市盈率和市净率相似。

市销率的优点主要有:
不会出现负值,对于亏损企业和资不抵债的企业,也可以计算出一个有意义的价值乘数。
比较稳定、可靠,难以被操纵。
收入乘数对价格政策和企业战略变化敏感,可以反映这种变化的后果。
市销率的缺点主要有:
不能反映成本的变化,而成本是影响企业现金流量和价值的重要因素之一。
行业的影响较大,不同行业的市销率对比没有意义。
上市公司关联销售较多,该指标也不能剔除关联销售的影响。
案例分析
以明阳智能为例,根据PS-Bands查看其历史水平可以发现其PS主要在1.15至1.95间波动,当前明阳智能的PS为1.97,因此仅从历史来看,明阳智能当前价格被略微高估。
图表 PS-Bands

资料来源:资产信息网 千际投行 iFinD
从行业内进行横向对比,可以看出明阳智能当前PS要高于行业中值1.37,然而相比起PS较高的公司,1.97并不高。因此从行业横向对比来看明阳智能同样处于略微高估的位置。
表 风电行业PS表

资料来源:资产信息网 千际投行 iFinD
因此综合历史水平和行业平均水平,可以根据PS估值法,得出明阳智能当前被略微高估的结论。
2.6 EV企业价值法
企业价值 (EV) 是衡量公司总价值的指标,通常用作股票市值的更全面替代方案。EV在其计算中包括公司的市值,还包括短期和长期债务以及公司资产负债表上的任何现金。企业价值是一种流行的指标,用于评估公司的潜在收购价值。

MC:市值。当前股价乘以已发行股票数量。
Total Debt:短期和长期债务之和。
C:现金和现金等价物。公司的流动资产,但可能不包括有价证券。
如果要收购一家公司,可以将企业价值 (EV) 视为理论收购价格。EV 在几个方面与简单的市值显着不同,许多人认为它更准确地代表了公司的价值。例如,一家公司的债务价值需要在收购一家公司时由买方偿还。因此,企业价值提供了更准确的收购估值,因为它在其价值计算中包括了债务。
案例分析
以明阳智能为例。明阳智能市值为590.95亿,总负债为3897917.38,现金及等价物为1111200.48。因此可以得出明阳智能的EV为86962169000,高于市值。因此可以得出明阳智能被低估的结论。
2.7 EV/Sales估值法
市售率(EV/Sales)市售率为股票价格与每股销售收入之比,市售率高的股票相对价值较高,以市售率为评分依据,给予0到100之间的一个评分,市售率评分越高,相应的股票价值也较高。市售率可以明显反映出新兴市场公司的潜在价值,因为在竞争日益激烈的环境中,公司的市场份额在决定公司生存能力和盈利水平方面的作用越来越大,市售率是评价公司股票价值的一个重要指标。

案例分析
以明阳智能及金风科技为例,两者都属于风电行业。金风智能EV为131,137,238,500,市售率为2.5931。明阳智能使用上面算出来的EV,可以得出其市售率为2.71。根据比较,可以看出金风科技相对被低估。
2.8 EV/EBITDA估值法
EV/EBITDA 又称企业价值倍数,是一种被广泛使用的公司估值指标。EV/EBITDA和市盈率(PE)等相对估值法指标的用法一样,其倍数相对于行业平均水平或历史水平较高通常说明高估,较低说明低估,不同行业或板块有不同的估值(倍数)水平。
税息折旧及摊销前利润,简称EBITDA,是 Earnings Before Interest, Taxes, Depreciation and Amortization的缩写,即未计利息、税项、折旧及摊销前的利润。EBITDA被私人资本公司广泛使用,用以计算公司经营业绩。

案例分析
以明阳智能和金风科技为例,明阳智能的EBITDA为3,704,245,800.00,金风科技的EBITDA为6564534300,因此可以算出两者的EV/EBITDA分别为23.48和19.98。因此相对而言金风科技被低估,明阳智能被高估。
2.9 PEV估值法
保险公司一般看两个指标:PB和PEV。PEV是专属于保险行业的一个估值指标,EV是内含价值的意思,是基于保险的业务价值计算出来每股保险股票价值多少钱。

PEV在1以下对于保险行业就是被低估。不同于净值,内含价值是每家保险公司根据自己的精算假设所计算出的结果,因为其计算考虑了公司所面临的各种风险,基于公司所选择的精算假设,其结果会有很大的不确定性。
案例分析
以中国平安为例,中国平安的EV是97966.8亿,市值为8432.68亿,总股本为182.8亿,当前股价为46.13元,因此可得PEV为0.086,小于1。所以根据PEV估值法,可以得出中国平安被低估。
2.10 LTC/CAC估值法
LTV 是客户终身价值,CAC 是客户获取成本, LTV / CAC 为二者的比值。
客户终身价值(LTV:Life Time Value):有时被称为客户全生命周期价值,指的是每个用户(购买者、会员、使用者)在未来可能为该服务带来的收益总和。
客户获取成本(CAC:Customer Acquisition Cost):是获得单个客户的平均费用。

其中LT为用户的平均生命周期,ARPU(Average Revenue Per User) 为用户在平均生命周期中的平均收入。
该指标能够帮助分析进入市场战略是否有效、全面以及带来边际效应。提供何时何处投更多的钱到销售和营销中的参考。应该在销售和营销中投入资金的数量以及最盈利的客户,产品以及业务种类。
LTC/CAC在3左右为合适。小于说明转化低,大于说明市场拓展保守;
LTC/CAC>1代表变现能力为正比,反之则入不敷出,状态危险。
2.11 P/GMV
GMV指标通常称为网站成交金额,属于电商平台企业成交类指标,主要指拍下订单的总金额,包含付款和未付款两部分。对于资本市场而言,电商平台企业的快速增长远比短期的利润更加重要,GMV正是衡量电商企业增速的最核心指标。
P/GMV衡量的是市值比交易流水,越小说明其越值得购买。
案例分析
京东2021年全年GMV为8156亿元,而当前市值为1019亿美元,采用美元兑人民币6.6965,可得其市值为6823.7335亿人民币。因此其P/GMV为15.8323。P/GMV为0.8357。
淘宝和天猫2021年的GMV为8.11万亿元,总市值为2771.64亿美元,也就是18560.29亿人民币。P/GMV为0.2289。
因此相比起来,阿里系的被低估,京东被高估。
第三章 绝对估值法
3.1 RNAV估值法
RNAV(Revaluated Net Assets Value,重估净资产)估值法适用于房地产企业或有大量自有物业的公司。其意义为公司现有物业按市场价出售应值多少钱,如果买下公司所花的钱少于公司按市场价出卖自有物业收到钱,那么表明该公司股票在二级市场被低估。

物业面积,均价和净负债都是影响RNAV值的重要参数。较高的资产负债率(过多的长短期借款负债)/较大的股本都将降低RNAV值。对公司各块资产分别进行市场化的价值分析,从资产价值角度重新解读公司内在的长期投资价值。股价相对其RNAV,如存在较大幅度的折价现象,显示其股价相对公司真实价值有明显低估。
案例分析
以万科A为例,万科企业股份有限公司的主营业务为房地产开发和物业服务;公司主要产品及服务为房地产、物业管理、投资咨询。截止2022年6月20日,万科A总股本为116.25亿股,总负债为155,405,966.58,货币资金为14,178,328.38,物业面积为135966930平方米,均价为16405.33元每平方米。因此可以算出其RNAV为70.39元,而万科A当前股价为18.58,存在大幅折价,因此万科A股票存在被低估的情况。
3.2 NAV估值法
净资产价值(Net Asset Value,NAV)总资产减去总负债即是“资产净值”。资产净值通常按资产及负债的帐面值计算得出。就基金而言,资产净值代表共同基金的实际价值,等于基金所拥有的资产总值减去所有的负债(包括应分摊的开销成本)。
NAV估值法的优势在于它为企业价值设定了一个估值底线,对内地很多"地产项目公司"尤为适用。而且NAV估值考虑了预期价格的变化、开发速度和投资人回报率等因素,相对于简单的市盈率比较更加精确。但NAV估值也有明显的缺点,其度量的是企业当前有形资产的价值,而不考虑品牌、管理能力和经营模式的差异。
NAV估值的盛行推动了地产企业对资产(土地储备)的过分崇拜。在NAV引领下,很多地产企业都参与到了这场土地储备的竞赛中来。地产企业形成了NAV"崇拜"下的新生存模式:储备土地--做大市值--融资--再储备土地。

案例分析
以万科A为例,万科A的总资产为194,736,937.55,总负债为155,405,966.58,总股本为116.25亿股份。由此可得其NAV为33.83元,高于其当前股价18.58。因此存在被低估的情况。
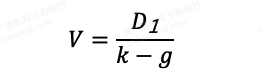
3.3 DDM估值法
股利贴现模型(Dividend Discount Model, DDM)是其中一种最基本的股票内在价值评价模型。威廉姆斯(Williams)和戈登(Gordon)1938年提出了公司(股票)价值评估的股利贴现模型(DDM),为定量分析虚拟资本、资产和公司价值奠定了理论基础,也为证券投资的基本分析提供了强有力的理论根据。
内在价值是指股票本身应该具有的价值,而不是它的市场价格。股票内在价值可以用股票每年股利收入的现值之和来评价;股利是发行股票的股份公司给予股东的回报,按股东的持股比例进行利润分配,每一股股票所分得的利润就是每股股票的股利。这种评价方法的根据是,如果你永远持有这个股票(比如你是这个公司的老板,自然要始终持有公司的股票),那么你逐年从公司获得的股利的贴现值就是这个股票的价值。根据这个思想来评价股票的方法称为股利贴现模型。

其中D1为下一期的分红,k为资本要求回报率,通常用CAPM替代,g为growth rate,也就是股息增长率。
案例分析
以兴业银行为例,根据其对上证指数的60个月调整beta为0.86。根据沪深10年的平均收益率算出平均市场收益率为10.81%,同时采用10年期国债收益率作为无风险收益率,可以得到rf为0.031因此可以根据CAPM模型计算出其要求回报率(k)为9.73%。

同时兴业银行2021年的ROE为0.1209,资本存管率(Plowback Rate)为0.7399,2021年预计每股收益为4.51元,因此根据公式可得D1为1.278元。

根据DDM增长,可以得出其价格为162.76,要远超当前价格。由于在估计的时候考虑了较高的增长率,因此在实际中可能价格并没这么高,但是仍然说明了当前兴业银行的股票被低估。
3.4 DCF现金流折现法
现金流贴现模型是通过预测未来的现金流量,来进行估值。DCF估值法适用于:那些股利不稳定,但现金流增长相对稳定的公司。那些现金流能较好反映公司盈利能力的公司。
现金流量贴现法就是把企业未来特定期间内的预期现金流量还原为当前现值。由于企业价值的衡量标准还是它未来盈利的能力,只有当企业具备这种能力,它的价值才会被市场认同,因此理论界通常把现金流量贴现法作为企业价值评估的首选方法,在评估实践中也得到了大量的应用,并且已经日趋完善和成熟。

其中FCFEi代表第i期的股权自由现金流,WACC为折现率。WACC公式中的E为股本价值,re为资本要求收益率,D为负债价值,V=E+D,rd为债务成本,T为税率。与DDM模型一样,可以假设其自由现金流的增长存在固定增长率g,从而得到类似的公式:

案例分析
以格力电器为例,2022年第一季度每股自由现金流为0.6991,资产为31,959,818.38,负债为21,167,273.26,所有者权益为10,792,545.12。针对沪深300的调整beta为0.8533,rd为0.026,T为0.1482。
根据沪深10年的平均收益率算出平均市场收益率为10.81%,同时采用10年期国债收益率作为无风险收益率,可以得到rf为0.031因此可以根据CAPM模型计算出其要求回报率为9.68%。从而得到其WACC为0.06。
根据第一季度的每股自由现金流假设全年自由现金流为2.4。同时因为格力是成熟企业,且过去自由现金流存在波动但均值未发生较大变化,因此假设g为0。可以得到其价格为40元,高于当前33.29元。因此当前价格被低估。
3.5 无杠杆自由现金流折现模型
无杠杆自由现金流(Unlevered Free Cash Flow)的定义是在考虑满足营运资本和资本开支的需要并支付财务费用后,可以由股东自由支配的部分自由现金流。

资本开支又称资本性支出,一般是指企业购置固定资产、无形资产的支出以及与之相关的贷款利息支出。这部分支出,在现金流量表中体现在“购建固定资产、无形资产和其他长期资产所支付的现金”项目。
根据UFCF可以进行如DCF方式折现算出现值。然而当UFCF为负值时不适用。
案例分析
同样以格力电器为例,其EBITDA为2,684,565.3,所得税为397,134.39,净营运资本开支为2,874,826.68,资本开支为572,707.48,最终得到其UFCF为-1,160,103.25。由于其UFCF为负值,因此格力电器无法采用该方法估值。
3.6 经济增加值折现模型

3.7 实物期权法
实物期权是一种通过期权的估值方法来对实物资产进行估值的方法。这实物商品自身(货币,债券,货物)构成了该期权的底层实体。又叫股票期权(equity option)和指数期权(index option)。是管理者对所拥有实物资产进行决策时所具有的柔性投资策略。

3.8 调整现值法
调整现值法(APV法)首先由梅耶斯(Myers)提出。在调整现值法下,项目的每项现金流量为两部分:一无杠杆作用(全部为权益资本)的营业现金流量;二与项目融资联系的现金流量。对这两部分进行估价,得出:

对现金流量进行分类是为了采取不同的贴现率。APV法首先假设项目全股权融资,算出一个基本现值,根据计划采取的财务策略引起的价值增减进行调整,得出最后的APV。APV法避免了将不同性质的资本成本加权平均可能引起的较大误差,各种价值创造价值清晰明了。
3.9 梅特卡夫估值模型
梅特卡夫定律是一种网络技术发展规律,梅特卡夫定律是3Com公司的创始人,计算机网络先驱罗伯特·梅特卡夫提出的。梅特卡夫(Metcalfe)法则:是指网络价值以用户数量的平方的速度增长。网络外部性是梅特卡夫法则的本质。
梅特卡夫定律由新科技推广的速度决定,所以网络上联网的计算机越多,每台电脑的价值就越大。同时该价值的增长非线性。在最初的梅特卡夫模型中,网络的价值跟网络的用户呈平方关系,当用户数较大时,其网络价值可以近似为:

其中V指价值,K指每个用户所贡献的价值,N是网络中的人数。随着网络用户对整个网络带来价值的不同进行研究,梅特卡夫模型通过加入了齐普夫定律,衍生出了新的估值函数:

其中V为估值,K为人均付费,N为月均用户数。
案例分析
以哔哩哔哩公司为例。哔哩哔哩是一个庞大的视频网站,其内容包括游戏,动漫,生活,科技,知识等。根据信达证券研究报告显示,哔哩哔哩在2022年第一季度的月活跃人数为2.94亿人,平均月付费人数为0.27亿。
根据哔哩哔哩2021年年报收入,扣除掉其移动游戏业务和电商业务,代入公式可得其公司估值为2234.2亿人民币,也就是335.687亿美元,明显高于其市值102.8亿美元。
3.10 修正梅特卡夫估值
由于根据齐普夫定律修正的梅特卡夫模型主要参照3com公司,因此此处根据张小艳和戴博访(2021)的论文,对于网站行业可以采用修正梅特卡夫模型估值。

其中V为估值,K为人均贡献收入,N为月均用户数,NP为月均付费用户数,MR为主要收入,也就是K*N,M%为主要营业收入以外的收入所占百分比。其中修正公式一因为Ln(NP)不收敛,当用户人数过大时仍会存在高估的可能性,因此常用来作为估值区间上界。修正公式二的往往低估目标收入,因此作为估值下界。
同样以哔哩哔哩公司为例,代入上述公式可得修正公式一的估值为1960.67亿人民币,也就是294.58亿美元。修正公式二的估值为822.088亿人民币,也就是123.51亿美元。因此可以构建估值区间(单位:亿美元):[123.51, 294.58],而哔哩哔哩的当前市值为102.8亿美元,因此被低估。
第四章 基于资产估值法
4.1 账面价值法
定义
账面价值法,也被称为净资产价值法或净账面价值法,是一种基于公司财务报表上的资产和负债来评估公司价值的方法。它主要考虑的是公司的资产(如现金、应收账款、存货等)和负债(如应付账款、长短期债务等)。
计算方法
账面价值是通过从公司的总资产中减去其总负债来得到的。数学上,它可以表示为:
账面价值 = 总资产 − 总负债
这个值也经常被称为公司的股东权益或净资产。
应用与局限性
应用: 账面价值法通常在以下情况下被使用:
当公司面临破产或清算时。
当公司的资产主要是有形资产,如房地产或制造业公司。
作为其他估值方法的补充或对照。
局限性: 虽然账面价值法为投资者提供了一个简单、直接的估值方法,但它也有其局限性:
它基于历史成本,可能不反映资产的当前市场价值。
对于那些主要资产为无形资产的公司(如技术公司或服务公司),这种方法可能不太适用。
它不考虑公司的未来盈利潜力或增长前景。
结论
账面价值法是一个有用的工具,特别是对于资产重的公司或面临财务困境的公司。然而,投资者在使用这种方法时应该注意其局限性,并考虑结合其他估值方法来获得一个更全面的公司价值评估。
4.2 清算价值法
定义
清算价值法是一种估计公司价值的方法,它基于假设公司即将停止运营并出售其所有资产的情况。这种方法主要考虑的是,如果公司的所有资产被单独出售,它们可以为股东带来多少收益。
计算方法
清算价值是通过估计公司所有资产的现时市场价值,然后从中减去所有负债和清算成本来得到的。数学上,它可以表示为:
清算价值 = (总资产的市场价值 − 清算成本) − 总负债
应用与局限性
应用: 清算价值法通常在以下情况下被使用:
当公司面临破产或实际清算时。
当评估投资风险,特别是对于高风险的投资。
作为其他估值方法的补充或对照,以确定公司的底线价值。
局限性: 虽然清算价值法为投资者提供了一个明确的估值方法,但它也有其局限性:
它可能低估公司的真实价值,特别是对于那些主要资产为无形资产或具有强大品牌和客户基础的公司。
它不考虑公司的未来盈利潜力或增长前景。
清算成本可能难以准确估计,特别是在复杂的法律和税务环境中。
结论
清算价值法是一个有用的工具,特别是对于评估公司的底线价值或面临财务困境的公司。然而,投资者在使用这种方法时应该注意其局限性,并考虑结合其他估值方法来获得一个更全面的公司价值评估。
4.3 成本重置法
定义
成本重置法,亦称为成本法,是一种基于资产的现时重置成本来评估其价值的方法。这种方法主要考虑的是,如果要在当前的市场环境和价格下重新购买或重建同样的资产,需要花费多少成本。
计算方法
成本重置法的核心是估计资产的重置成本,然后从中扣除因使用、时间和其他因素导致的资产损耗。数学上,它可以表示为:
资产价值 = 现时重置成本 − 资产损耗
应用与局限性
应用: 成本重置法通常在以下情况下被使用:
当评估那些无法在市场上轻易交易或缺乏市场比较的独特资产时,如专利、土地或定制设备。
当市场信息不足或不可靠,使得其他估值方法难以应用时。
当需要评估保险赔偿或替代成本时。
局限性: 虽然成本重置法为投资者提供了一个明确的估值方法,但它也有其局限性:
它可能不考虑资产的经济效益或未来收益潜力。
对于那些价值主要来自其无形价值或未来增长潜力的资产,这种方法可能不太适用。
重置成本可能难以准确估计,特别是对于复杂或独特的资产。
结论
成本重置法是一个有用的工具,特别是对于评估独特或难以在市场上交易的资产。然而,投资者在使用这种方法时应该注意其局限性,并考虑结合其他估值方法来获得一个更全面的资产价值评估。
第五章 总结
股票估值是资本市场中最为核心的活动之一。估值不仅仅是一个数学计算,更是一个结合了财务、经济、行业和宏观经济因素的综合分析过程。
在2023年,全球经济环境经历了许多变革,这对股票估值产生了深远的影响。首先,全球利率环境持续低迷,导致估值模型中的贴现率下降,从而提高了股票的现值。此外,技术行业的快速增长和创新,使得许多传统的估值方法在应用时面临挑战。
在此背景下,DCF (折现现金流) 估值法仍然是最受欢迎的估值方法之一。然而,对于高增长的技术公司,如云计算和人工智能公司,传统的DCF方法可能会低估其价值。因此,许多分析师开始采用多种估值方法,如市盈率、市销率和市净率,来更准确地评估这些公司的价值。
根据《淡马锡年度报告2023》的数据,2023年全球平均市盈率为15倍,而技术行业的平均市盈率为25倍。这表明投资者对技术公司的未来增长持乐观态度,并愿意为其支付溢价。
此外,千际投行的研究还发现,估值过程中的风险评估越来越受到重视。尤其是在全球经济不确定性增加的背景下,对公司未来现金流的预测变得更为困难。因此,许多分析师开始使用蒙特卡洛模拟等方法,来评估不同情景下的估值结果。
总结而言,股票估值是一个复杂而又关键的过程,它需要分析师结合多种方法和工具来进行。在不断变化的经济环境下,估值方法也需要不断地更新和完善。千际投行将继续关注这一领域的最新动态,并为投资者提供深入的研究和分析。
Cover Photo by Isaac Smith on Unsplash